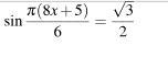
• Решите уравнение (на фото). В ответе напишите наибольший отрицательный корень.

    question img

Ответы 1

  • П(8x+5)/6=(-1)^k*П/3+Пk

    (8x+5)/6=(-1)^k*1/3+k

    8x+5=(-1)^k*2+6k

    8x=(-1)^k*2+6k-5

    x=(-1)^k/4+3k/4-5/8

    k=1

    x=-1/4+3/4-5/8=2/4-5/8=4/8-5/8=-1/8

    ответ Х=-1/8

    • Автор:

      billy39
    • 6 лет назад
    • 0
  • Добавить свой ответ

Еще вопросы

Войти через Google

или

Забыли пароль?

У меня нет аккаунта, я хочу Зарегистрироваться

How much to ban the user?
1 hour 1 day 100 years