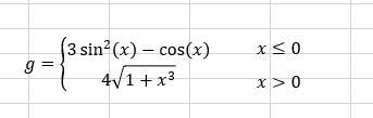
• =ЕСЛИ(A7<=0;3sin'2x-cosx);(4)((1+x^2)^3/2)
    Как написать эту формулу в EXCEL!
    Помогите пожалуйста

    question img

Ответы 1

  • =ЕСЛИ(A7<=0,3*(SIN(A7))^2-COS(A7),4*КОРЕНЬ(1+(A7)^3))

    Подразумевается, что значение X находится в ячейке A7.

    • Автор:

      twigdqmg
    • 6 лет назад
    • 0
  • Добавить свой ответ

Войти через Google

или

Забыли пароль?

У меня нет аккаунта, я хочу Зарегистрироваться

How much to ban the user?
1 hour 1 day 100 years