• Помогите пожалуйста)
    Нужно упростить дробь

    question img

Ответы 1

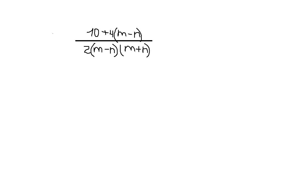
  • 10+4m-4n

    -------------=

    2(m^2-n^2)

    10+4m-4n

    =--------------=

    2m^2-2n^2

    5+2m-2n

    =---------------

    m^2-n^2

  • Добавить свой ответ

Войти через Google

или

Забыли пароль?

У меня нет аккаунта, я хочу Зарегистрироваться

How much to ban the user?
1 hour 1 day 100 years