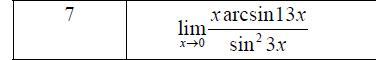
• в первом и втором найти предел
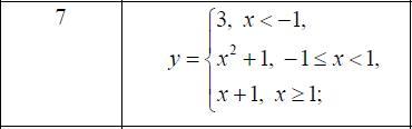
    в третьем исследовать на непрерывность функцию, построить ее график

    question img
    question img
    question img

Ответы 3

  • спасибо вам большое, можно будет если что ещё обращаться?
    • Автор:

      jewelwuw1
    • 6 лет назад
    • 0
  • Конечно
    • Автор:

      ortiz
    • 6 лет назад
    • 0
  • Решение во вложении.

    answer img
    • Автор:

      bruiser
    • 6 лет назад
    • 0
  • Добавить свой ответ

Войти через Google

или

Забыли пароль?

У меня нет аккаунта, я хочу Зарегистрироваться

How much to ban the user?
1 hour 1 day 100 years