• СРОЧНО!! ДАЮ 40 БАЛЛОВ
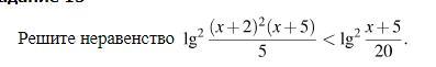
    Решите неравенство lg2 (x+2)2(x+5)/5 < lg2 (x+5)/20

    question img

Ответы 1

  • !!!!!!!!!!!!!!!!!!!!!!!!!!!

    answer img
  • Добавить свой ответ

Войти через Google

или

Забыли пароль?

У меня нет аккаунта, я хочу Зарегистрироваться

How much to ban the user?
1 hour 1 day 100 years