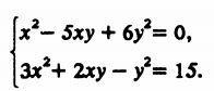
• Решить систему уравнений

    Возникла проблема... В первом вроде бы ничего сложного, но с ответами не сошлось... Делал замену x=yt, в итоге вышло, что t=1/2; 1/3 .
    Второй вообще не пойму как выразить... Был бы очень признателен за помощь!

    question img
    question img

Ответы 3

  • в первом можно было выделить полный квадрат и использовать разность квадратов
    • Автор:

      lane9sq2
    • 6 лет назад
    • 0
  • (x-2y)(x-3y)=0 получается или через дискриминант x=(5y+-y)/2
  • Решения на картинках

    answer img
    • Автор:

      lucascp60
    • 6 лет назад
    • 0
  • Добавить свой ответ

Еще вопросы

Войти через Google

или

Забыли пароль?

У меня нет аккаунта, я хочу Зарегистрироваться

How much to ban the user?
1 hour 1 day 100 years