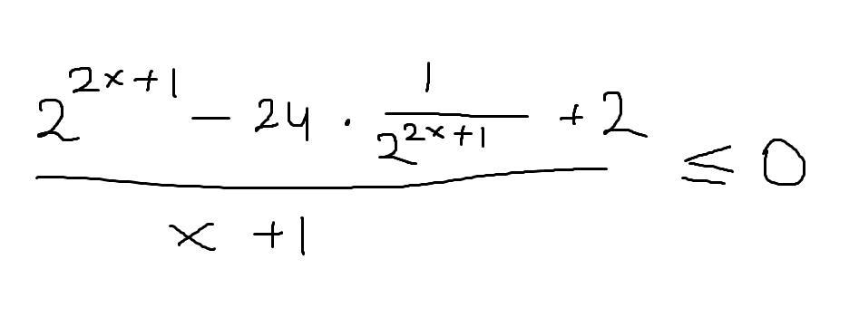
• Легкий пример с заменой, решите методом интервалов пж)
    У меня получилось (-беск до -1) и от(-1 до 0,5} . Ответ просто с учителем не сходится, а ошибку найти не получается)

    question img

Ответы 1

  • Ответ на фото/////////////////////////

    answer img
  • Добавить свой ответ

Войти через Google

или

Забыли пароль?

У меня нет аккаунта, я хочу Зарегистрироваться

How much to ban the user?
1 hour 1 day 100 years