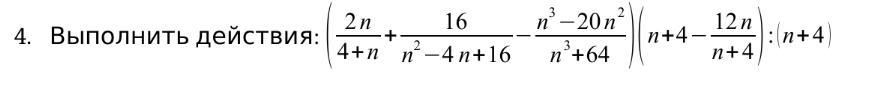
• Выполнить действия:
    (2n/4+n + 16/n²-4n+16 - n³-20n²/n³+64)(n+4 - 12n/n+4):(n+4)
    Помогите, пожалуйста.Срочно, даю 60 баллов.

    question img

Ответы 2

  • (2n/4+n + 16/n²-4n+16 - (n³-20n²))/(n+2)(n²-4n+16))*((n+4)²/n+4 - 12n/n+4):(n+4)=

    ((2n*(n²-4n+16)+16(n+4)-n³+20n²)/(n+4)(n²-4n+16))*((n+4)²-12n/n+4)):(n+4)=

    ((2n³-8n²+32n+16n+64-n³+20n²)/(n+4)(n²-4n+16))*((n²+8n+16-12n)/n+4):(n+4)=

    ((n³+12n²+48n+64)/(n+4)(n²-4n+16))*((n²-4n+16)/n+4):(n+4)=

    ((n+4)³/(n+4)(n²-4n+16))*(n²-4n+16)/(n+4)²=

    (n+4)²/(n+4)=n+4

  • на фото..............

    answer img
    • Автор:

      stella
    • 6 лет назад
    • 0
  • Добавить свой ответ

Войти через Google

или

Забыли пароль?

У меня нет аккаунта, я хочу Зарегистрироваться

How much to ban the user?
1 hour 1 day 100 years