• Дана СИСТЕМА неравенств. Найдите все значения параметра а, при которых система неравенств имеет единственное решение. Ответов нет. Решите пожалуйста.

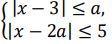
    |x− 3| ≤a ,

    |x− 2a| ≤ 5

    question img

Ответы 1

  •            Решение : //////////////////////////////////

    answer img
    • Автор:

      amadeo
    • 6 лет назад
    • 0
  • Добавить свой ответ

Войти через Google

или

Забыли пароль?

У меня нет аккаунта, я хочу Зарегистрироваться

How much to ban the user?
1 hour 1 day 100 years