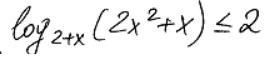
• Решите неравенство не используя метод рационализации.

    Спасибо.

    question img

Ответы 4

  • ...
    • Автор:

      ruben101
    • 6 лет назад
    • 0
  • четверка может быть лишней, хотя если её подставить в условие, то оно выполняется
    • Автор:

      big bird
    • 6 лет назад
    • 0
  • На фото............................

    answer img
  • на фото..................

    answer img
    • Автор:

      ravenukov
    • 6 лет назад
    • 0
  • Добавить свой ответ

Еще вопросы

Войти через Google

или

Забыли пароль?

У меня нет аккаунта, я хочу Зарегистрироваться

How much to ban the user?
1 hour 1 day 100 years