• Ребятки помогите пожалуйста)❤. Найти значение выражения​

    question img

Ответы 1

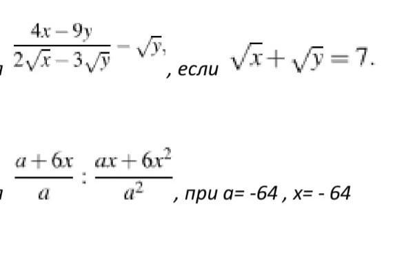
  • 1. 4х-9у / 2√х-3√у   -  √у = (2√х-3√у)(2√х+3√у) / 2√х-3√у  -  √у = 2√х+3√у-√у =  

    = 2√х+2√у = 2(√х+√у)

    2(√х+√у) = 2*7 = 14

    2. а+6х / а   :   ах+6х² / а² = а+6х / а   *   а² / х(а+6х) = а/х = -64/ -64 = 1

    • Автор:

      beamer
    • 6 лет назад
    • 0
  • Добавить свой ответ

Войти через Google

или

Забыли пароль?

У меня нет аккаунта, я хочу Зарегистрироваться

How much to ban the user?
1 hour 1 day 100 years