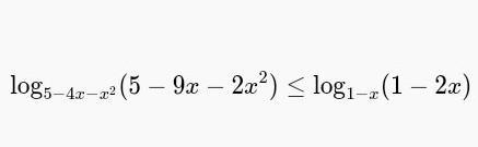
• Свести неравенство
    [tex] log_{ac}(ab) \leqslant log_{c}(b) [/tex]
    к неравенству без использования логарифмических и им подобных функций.

    P. S. Если что, исходное неравенство есть на фотке, но оно сводится к данному выше при определенных заменах. Если знаете другие способы - можете написать

    question img

Ответы 1

  • ▪решение приложено ▪

    answer img
    • Автор:

      sport0iwk
    • 6 лет назад
    • 0
  • Добавить свой ответ

Войти через Google

или

Забыли пароль?

У меня нет аккаунта, я хочу Зарегистрироваться

How much to ban the user?
1 hour 1 day 100 years