• Помогите решить пожалуйста)))
    Срочно нужна помощь)))
    Помогите пожалуйста))))) даю 20 баллов

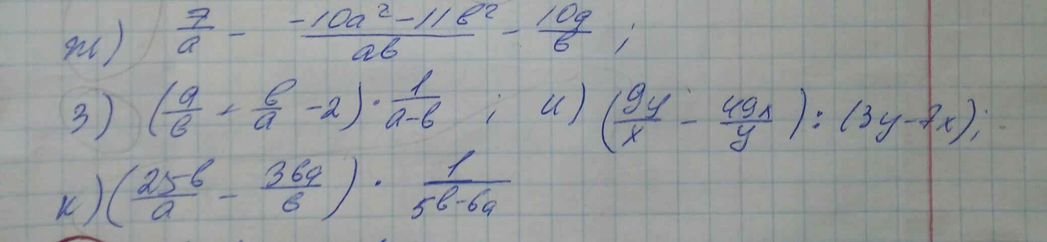
    question img

Ответы 1

  • Надеюсь всё понятно написала)

    answer img
    • Автор:

      hershey
    • 6 лет назад
    • 0
  • Добавить свой ответ

Еще вопросы

Войти через Google

или

Забыли пароль?

У меня нет аккаунта, я хочу Зарегистрироваться

How much to ban the user?
1 hour 1 day 100 years