• Зачем нужно брать обратное число , разве при умножении нет разницы?

    question img

Ответы 6

  • Почему при a= -1, Теорема виета не работает?
  • здесь?
  • Посмотри )
  • Точнее, она работает, но знаки другие
  • упс, это мне копать надо... на влет не соображу
    • Автор:

      lefty6qod
    • 6 лет назад
    • 0
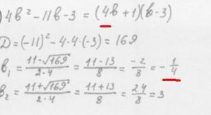
  • а тут нет "обратного числа", вверху коэффициент 4, а внизу корень уравнения -1/4. Это просто совпадение, что там и там число 4. К тому же они не являются взаимно обратными -разные знаки

  • Добавить свой ответ

Войти через Google

или

Забыли пароль?

У меня нет аккаунта, я хочу Зарегистрироваться

How much to ban the user?
1 hour 1 day 100 years