• Плиииз помогите, сделайте любое пжжжж
    Разложите многочлен на множители методом группировки, заранее спасибо❤️

    question img

Ответы 1

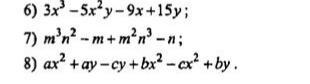
  • 6) 3x³ - 5x²y - 9x + 15y = (3x³ - 9x) - (5x²y - 15y) = 3x(x² - 3) - 5y(x² - 3) =

    = (x² - 3)(3x - 5y) = (x - √3)(x + √3)(3x - 5y)

    7) m³n² - m + m²n³ - n = (m³n² + m²n³) - (m + n) = m²n²(m + n) - (m + n) =

    = (m + n)(m²n² - 1) = (m + n)(mn - 1)(mn + 1)

    8) ax² + ay - cy + bx² - cx² + by = (ax² + bx² - cx² ) + (ay + by - cy) =

    = x²(a + b - c) + y(a + b - c) = (a + b - c)(x² + y)

    • Автор:

      prissy
    • 6 лет назад
    • 0
  • Добавить свой ответ

Войти через Google

или

Забыли пароль?

У меня нет аккаунта, я хочу Зарегистрироваться

How much to ban the user?
1 hour 1 day 100 years