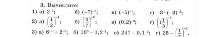
• Надо сделать цифры 2 и 3

    Прошу помогите, пожалуйста​

    question img

Ответы 3

  • спасибо большое)
    • Автор:

      ashlyfry
    • 6 лет назад
    • 0
  • пожалуйста
    • Автор:

      finn155
    • 6 лет назад
    • 0
  • Ответ:

    Объяснение:

    2) a)(1/2)^-1=2^1=2

    б)(3/7)^-2=(7/3)²=49/9=5 4/9

    в)(0.2)^-3=5³=125

    г)(4/3)^-4=(3/4)^4=81/256

    3) a) = 1/6+(1/2)²=1/6+1/4=2/12+3/12=5/12

    б) =10^0+(6/5)^1=1+6/5=1 6/5=2 1/5

    в) =247-(10)²=247-200=47

    г) =25-7²=25-49=-24

    • Автор:

      finn155
    • 6 лет назад
    • 0
  • Добавить свой ответ

Войти через Google

или

Забыли пароль?

У меня нет аккаунта, я хочу Зарегистрироваться

How much to ban the user?
1 hour 1 day 100 years