• какое задание? надо решить неравенство, но я прошу вас только проверить.
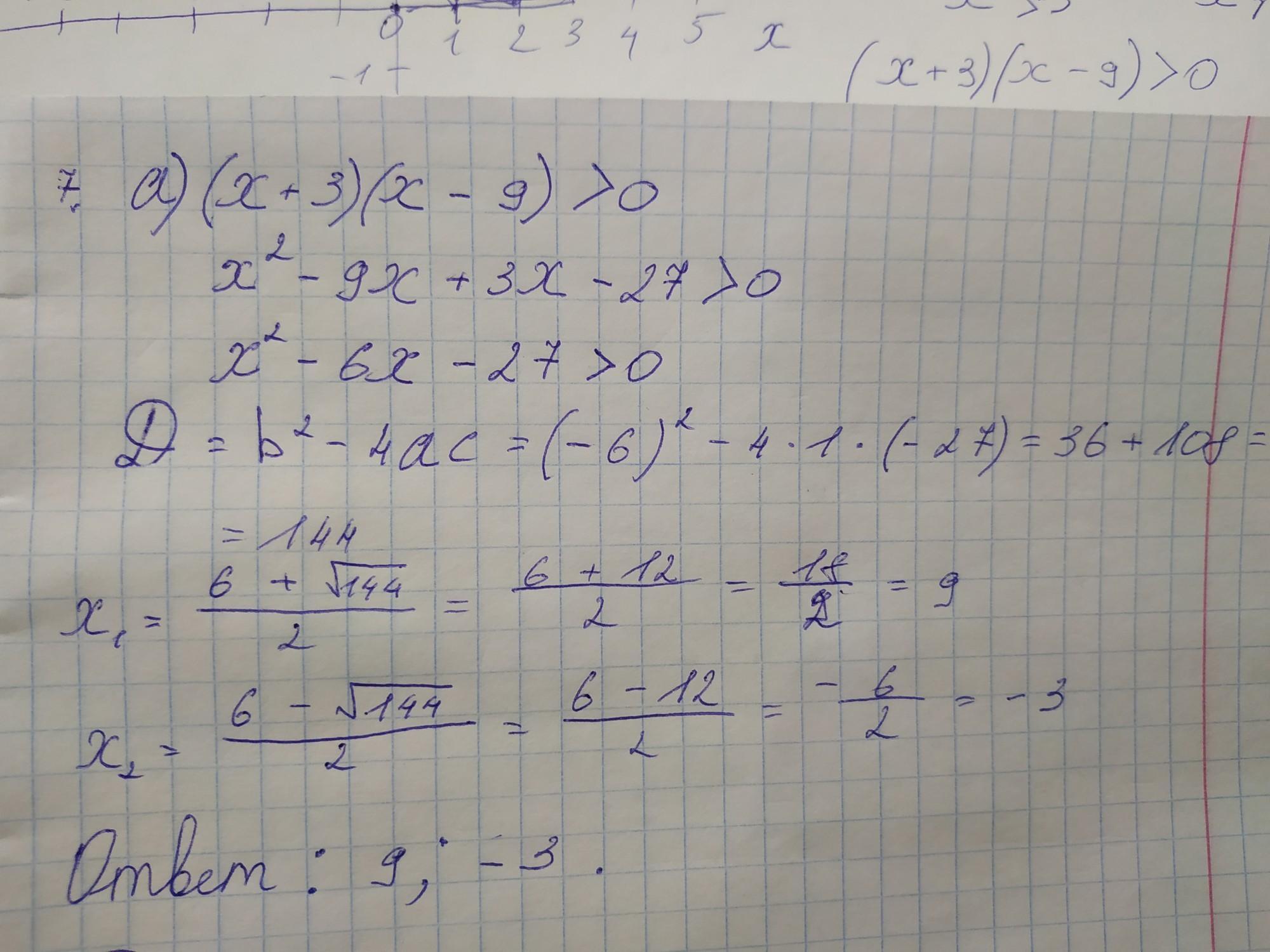
    неравенство (x + 3)(x - 9) > 0​

    question img

Ответы 4

  • Cпасибо.
    • Автор:

      lawrence6
    • 6 лет назад
    • 0
  • :3
    • Автор:

      yazmin
    • 6 лет назад
    • 0
  • Ответ:

    в точках 9 и минус 3 функция равна нулю.

    для того чтобы решить неравенство, не нужно было раскрывать скобки и искать дискриминант.

    x \times y = 0

    произведение равно нулю, тогда когда один из его множителей равен нулю

    x = 0 \\ y = 0

    для того чтобы найти где больше нуля. для этого на числовой прямой отметим нули функции.

    это -3 и 9

    таким образом, получим три интервала.

    (-беск.;-3)(-3;9)(9;+беск.)

    таким образом, ветви функции направлены вверх. следовательно больше нуля получим крайние интервалы.

    + - +

    ответ (-беск.;-3)(9;+беск.)

  • Нет, к сожалению, решается это задание, например, с помощью метода интервалов. Вы сделали двойную работу, раскрыли скобки, а потом нашли корни левой части. Это можно было сделать, не прибегая к решению квадратного уравнения, а просто приравнять к нулю сначала одну, потом другую скобки, итак, корни найдены. Это -3 и 9. Разбиваем ими числовую ось на интервалы (-∞;-3);(-3;9);(9;+∞), и устанавливаем знак на каждом промежутке, для чего можете просто подставить число из данного интервала и узнать знак левой части неравенства. Например, на промежутке (-∞;-3) берем -4

    Подставляем в левую часть неравенства, получаем (-4+3)(-4-9)

    и видим, что знак там в  первой скобке минус и во второй минус, а минус на минус даст плюс, аналогично во втором интервале получим минус, и в третьем плюс. Нас интересуют плюсы. Поэтому ответом будет объединение промежутков (-∞;-3)∪(9;+∞)

    • Автор:

      red35
    • 6 лет назад
    • 0
  • Добавить свой ответ

Войти через Google

или

Забыли пароль?

У меня нет аккаунта, я хочу Зарегистрироваться

How much to ban the user?
1 hour 1 day 100 years