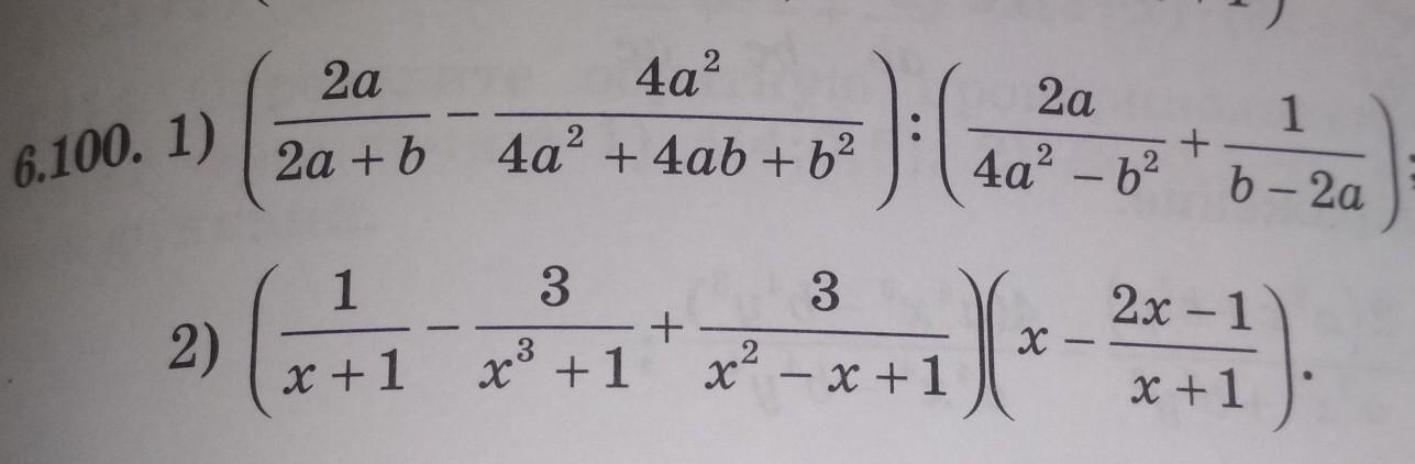
• 6.100 всего лишь один пример решите,любой пожалуйста​,но не надо как за 10-11 класс решать,мне нужно за 7

    question img

Ответы 3

  • Потеряла скобку в 1). Извиняюсь. Уже исправила. Добавила 2).
  • Ответ:

    Решение на фото

    Объяснение:

    answer img
  • Ответ:

    Объяснение:

    Получается только так, не знаю, идет ли это на 7 класс

    answer img
  • Добавить свой ответ

Войти через Google

или

Забыли пароль?

У меня нет аккаунта, я хочу Зарегистрироваться

How much to ban the user?
1 hour 1 day 100 years