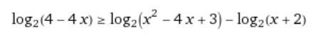
• Решите неравенство
    log (4-4x) по осн 2>=log (x^2-4x+3) по осн 2 -log(x+2) по осн 2

    question img

Ответы 5

  • Спасибо за решение! Подскажите, почему нельзя было идти так: log2 (4-4x) >=log2 ((x^2-4x+3)/(x+2))
  • Почему нельзя? Можно и так
  • У меня получился неправильный ответ из-за этого
    • Автор:

      gypsy
    • 6 лет назад
    • 0
  • http://prntscr.com/o16iyj
  • Ответ:х€[-1;1)

    Объяснение:

    answer img
  • Добавить свой ответ

Еще вопросы

Войти через Google

или

Забыли пароль?

У меня нет аккаунта, я хочу Зарегистрироваться

How much to ban the user?
1 hour 1 day 100 years