• 1. один из корней квадратного уравнения х2-21х+54=0 равен 3. найдите второй корень уравнения. 
    2. решите уравнение. если корней несколько , то в ответ укажите меньший из них

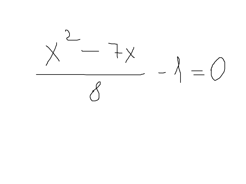
    question img

Ответы 1

  • 1.Решим по т.Виеттах2-21х+54=0х1+х2=21х1 х х2=54х1=3х2=182. Приводим к общему множителю, получимх2-7х-8=0х1+х2= 7х1 х х2= - 8х1= 8х2=(-1)
    • Автор:

      pippy0e0n
    • 2 года назад
    • 2
  • Добавить свой ответ

Войти через Google

или

Забыли пароль?

У меня нет аккаунта, я хочу Зарегистрироваться

How much to ban the user?
1 hour 1 day 100 years