• (3x+1):2=(x-5):4-(3-x):8 помогите пожалуйста вместо знака деления дробь

Ответы 1

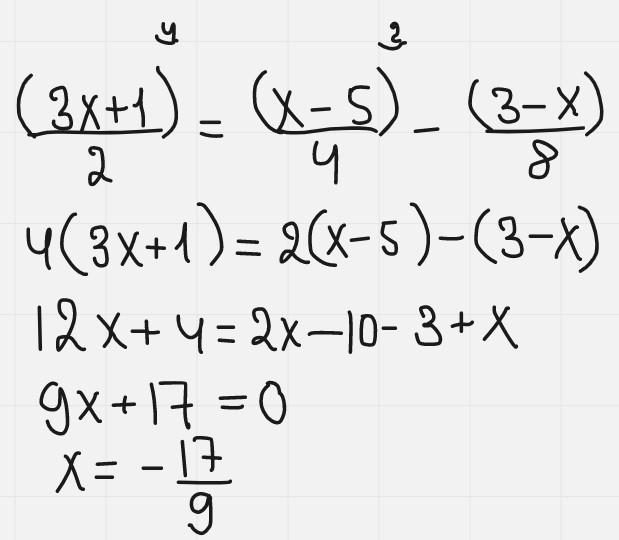
  • Ответ: Решение представлено на скрине.

    Объяснение:

    answer img
    • Автор:

      allen438
    • 3 года назад
    • 9
  • Добавить свой ответ

Войти через Google

или

Забыли пароль?

У меня нет аккаунта, я хочу Зарегистрироваться

How much to ban the user?
1 hour 1 day 100 years