• пожалуйста помогите! если можете сделать только одно, тогда сделай одно. ​

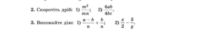
    question img

Ответы 1

  • Ответ:

    решение смотри на фотографии

    answer img
    • Автор:

      mindydyer
    • 3 года назад
    • 4
  • Добавить свой ответ

Еще вопросы

Войти через Google

или

Забыли пароль?

У меня нет аккаунта, я хочу Зарегистрироваться

How much to ban the user?
1 hour 1 day 100 years