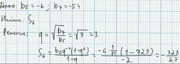
• 3.80. Найдите сумму первых 6 членов геометрической про- грессии {b }, если: 1) b⁵ =-6, b⁷ =-54; 5​

Ответы 3

  • Объяснение:

    Сорри если не правильно

    answer img
  • Объяснение:

    надеюсь правельно)))))

    answer img
    • Автор:

      hubbysyd8
    • 3 года назад
    • 10
  • Ответ: 728/27 хз правильно или нет

    • Автор:

      Popular
    • 3 года назад
    • 0
  • Добавить свой ответ

Войти через Google

или

Забыли пароль?

У меня нет аккаунта, я хочу Зарегистрироваться

How much to ban the user?
1 hour 1 day 100 years