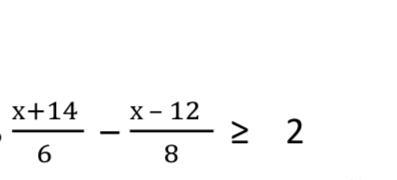
• Розв’яжіть нерівність x+14/6 -x-12/8 > 2 Заданих на фото!! Срочно

    question img

Ответы 1

  • Ответ: Будь ласка напишіть, тому що на фото нічого не видно

    Объяснение:

  • Добавить свой ответ

Войти через Google

или

Забыли пароль?

У меня нет аккаунта, я хочу Зарегистрироваться

How much to ban the user?
1 hour 1 day 100 years