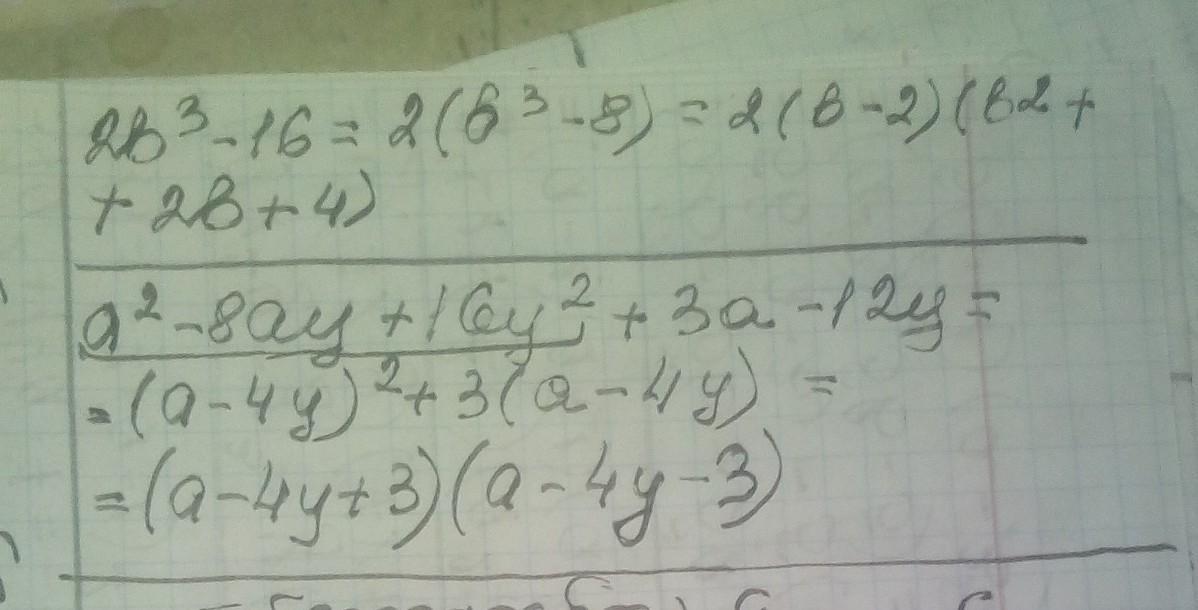
• 2. Разложите многочлен на множители: a) 2в³ -16; b) a² -8ay +16y²+3а-12y [5] дам 50 баллов щас соч пожалуйста прошуууууууу ​

    question img

Ответы 1

  • Ответ:

    решение смотри на фотографии

    answer img
  • Добавить свой ответ

Войти через Google

или

Забыли пароль?

У меня нет аккаунта, я хочу Зарегистрироваться

How much to ban the user?
1 hour 1 day 100 years