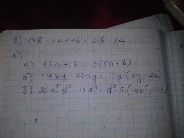
• Как решить задание: ЗапишитеКак решить задание: Запишите многочлен в стандартном виде :         в) 14b-(3a-7b)            3 Вынесите за скобки общий  множитель многочлена .  а) 15а+3b    б) 14xy-28ay              в)20а5d3-15d4 

Ответы 1

  • Смотри фото решение на листе
    answer img
    • Автор:

      bryson866
    • 2 года назад
    • 9
  • Добавить свой ответ

Еще вопросы

Войти через Google

или

Забыли пароль?

У меня нет аккаунта, я хочу Зарегистрироваться

How much to ban the user?
1 hour 1 day 100 years