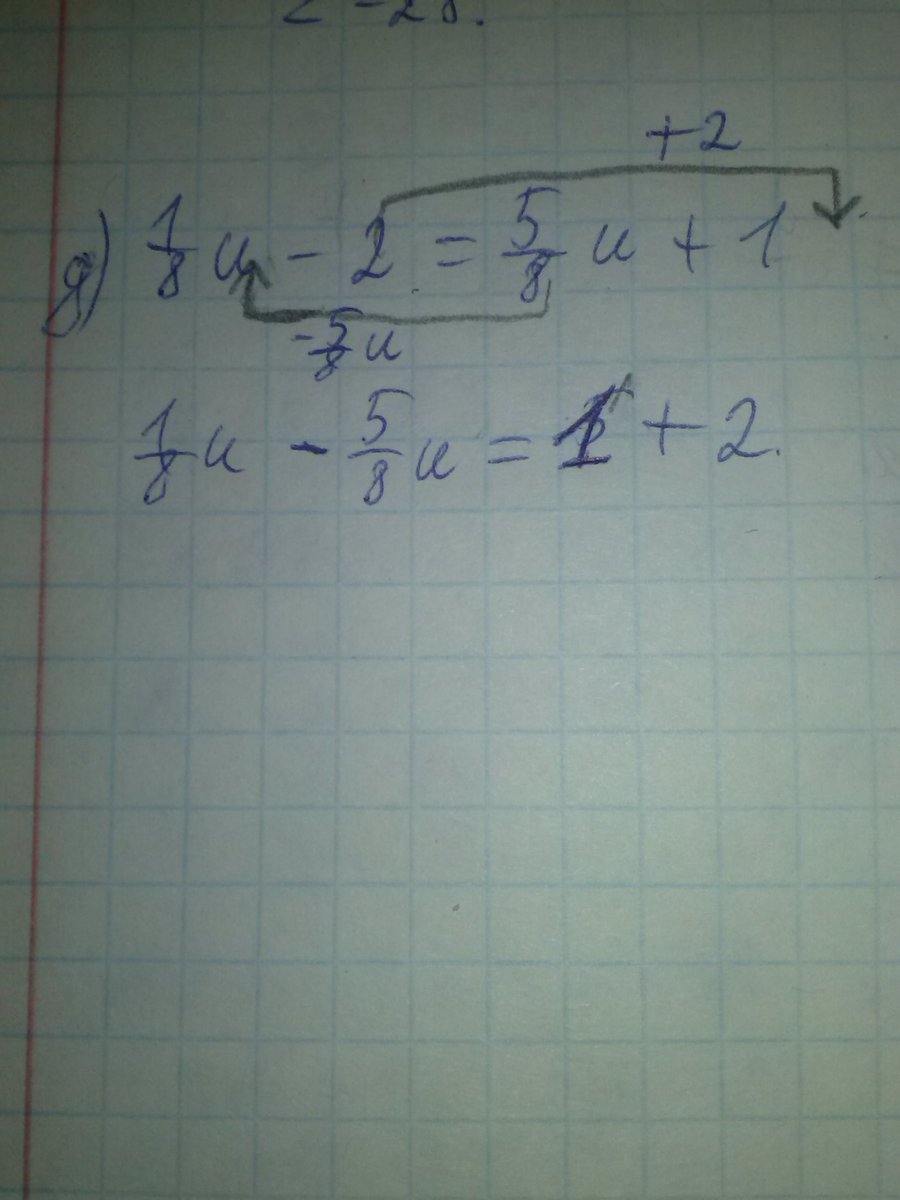
• Задание во вложении.Дорешайте пожалуйста уравнение! В третьей строчке в левой части получается -4/8 u
    ??????????

    question img

Ответы 2

  • Спасибо!!!)
    • Автор:

      ruby69
    • 6 лет назад
    • 0
  • Поможешь решить ещё одно уравнение?
    • Автор:

      anahiephv
    • 6 лет назад
    • 0
  • Добавить свой ответ

Войти через Google

или

Забыли пароль?

У меня нет аккаунта, я хочу Зарегистрироваться

How much to ban the user?
1 hour 1 day 100 years