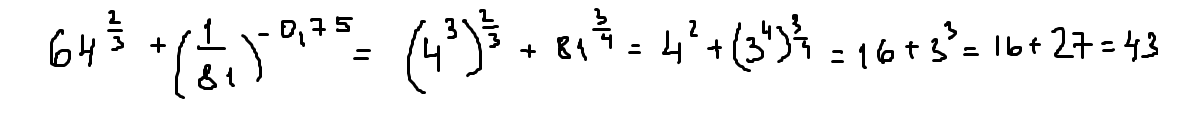
• 64 в степени 2/3 + (1/81) в степени  -0,75

Ответы 1

  • когда избавляемся от минуса в степени, то дробь переворачиваем. И еще -0,75=-3/4
    answer img
  • Добавить свой ответ

Еще вопросы

Войти через Google

или

Забыли пароль?

У меня нет аккаунта, я хочу Зарегистрироваться

How much to ban the user?
1 hour 1 day 100 years