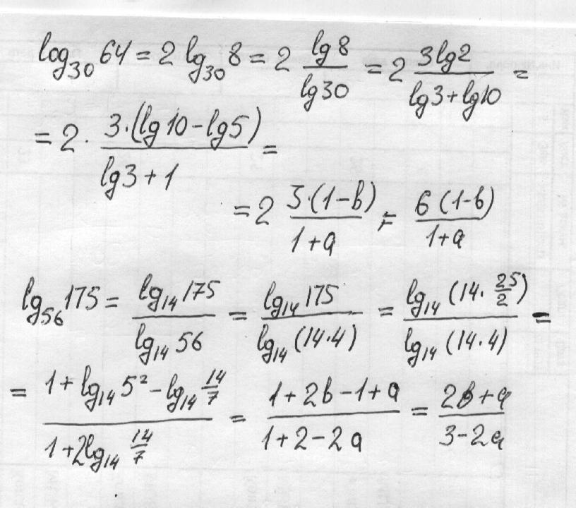
• Выразить log 64 по основанию 30 через числа а=lg3 и b=lg5
    Выразить log 56 по основанию 175 через числа a=log 7 по основанию 14 и b=log 5 по основанию 14

Ответы 1

  •                                                Решение:Смотри вложение:.....
    answer img
    • Автор:

      chadhrnr
    • 2 года назад
    • 11
  • Добавить свой ответ

Еще вопросы

Войти через Google

или

Забыли пароль?

У меня нет аккаунта, я хочу Зарегистрироваться

How much to ban the user?
1 hour 1 day 100 years