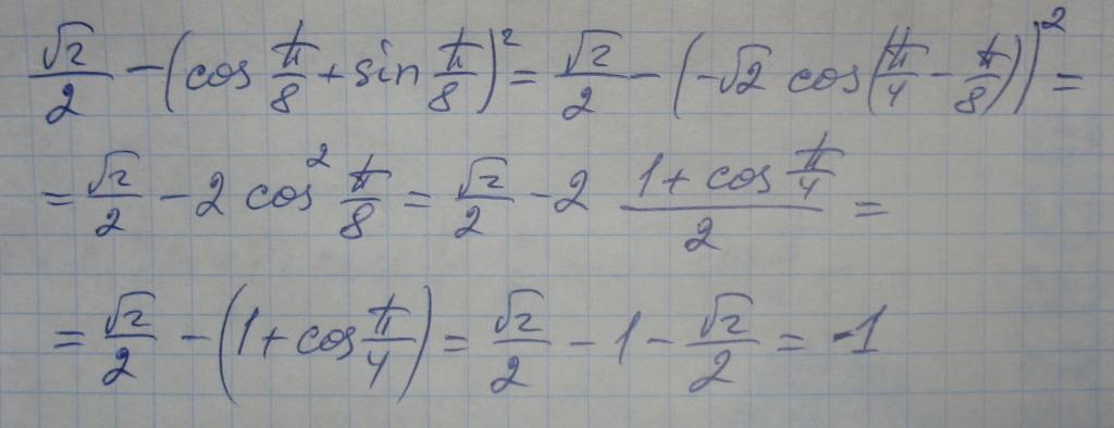
• вычислите: √(2)/2 - (cosπ/8+sinπ/8)^2

Ответы 1

  • Решение во вложенном файле
    answer img
    • Автор:

      jovantudd
    • 2 года назад
    • 4
  • Добавить свой ответ

Войти через Google

или

Забыли пароль?

У меня нет аккаунта, я хочу Зарегистрироваться

How much to ban the user?
1 hour 1 day 100 years