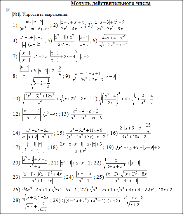
• Решите пожалуйста любые пять примеров из этого скрина (абсолютно любые из них) и распишите их пожалуйста, очень нужно, а бьюсь с ними уже не мало, решил только одно, но другие точно не осилю((((
    Пожалуйста очень нужно, правда!!! Заранее благодарю) 

    question img

Ответы 1

  • Ох мать, благодарю за усидчивость и огромное спасибо, не представляете как выручили)))))))))))))))))))))))))))
  • Добавить свой ответ

Еще вопросы

Войти через Google

или

Забыли пароль?

У меня нет аккаунта, я хочу Зарегистрироваться

How much to ban the user?
1 hour 1 day 100 years