• решите пожалуйста 
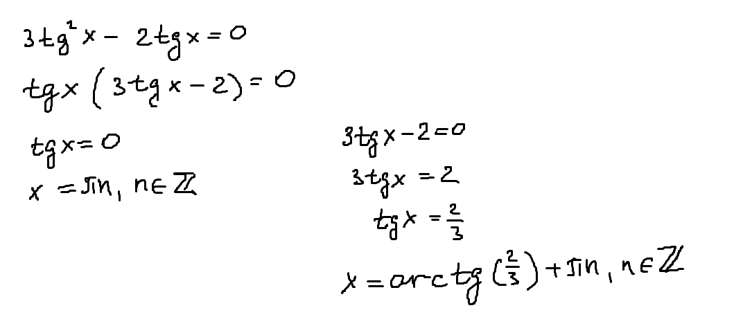
    3 tg^2 x - 2tgx =0

Ответы 1

  • решениеееееееееееееееееееееееееееееееее
    answer img
    • Автор:

      tylergml8
    • 2 года назад
    • 10
  • Добавить свой ответ

Еще вопросы

Войти через Google

или

Забыли пароль?

У меня нет аккаунта, я хочу Зарегистрироваться

How much to ban the user?
1 hour 1 day 100 years