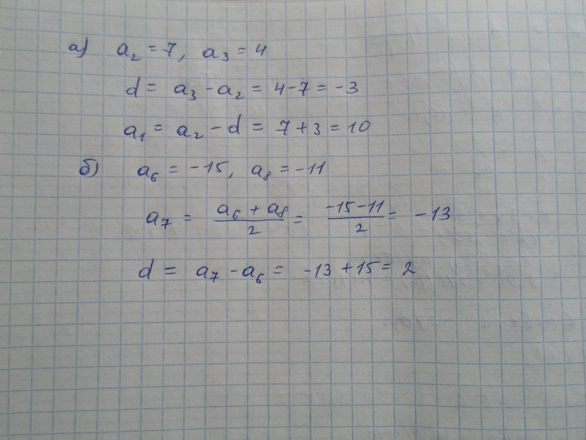
• в арифметической прогрессии an  найдите :
    а) a1 и d,если a2=7,a3=4
    б)а7 и d,если а6=-15,а8=-11

Ответы 1

  • ответ смотри во вложении
    answer img
    • Автор:

      lattekm2q
    • 2 года назад
    • 9
  • Добавить свой ответ

Войти через Google

или

Забыли пароль?

У меня нет аккаунта, я хочу Зарегистрироваться

How much to ban the user?
1 hour 1 day 100 years