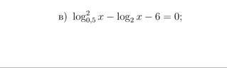
• Помогите привести логарифмы к одному основанию. И все ) буду благодарна!

    question img

Ответы 2

  • я не знаю другого выхода
  • вот ответ.А вы знаете по армянский?
    answer img
  • Добавить свой ответ

Войти через Google

или

Забыли пароль?

У меня нет аккаунта, я хочу Зарегистрироваться

How much to ban the user?
1 hour 1 day 100 years