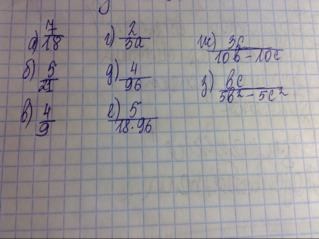
• Помогите пожалуйста!!привести дроби к общ.знаменателю,7 класс)))

    question img

Ответы 1

  • а) 0, 4б) 0, 24в) 0.44г) 0, 68 1/ад) 1/24е) 0.003ж) 3.61/b-cз)bc/5×(b-c)
    • Автор:

      bean16
    • 6 лет назад
    • 0
  • Добавить свой ответ

Войти через Google

или

Забыли пароль?

У меня нет аккаунта, я хочу Зарегистрироваться

How much to ban the user?
1 hour 1 day 100 years