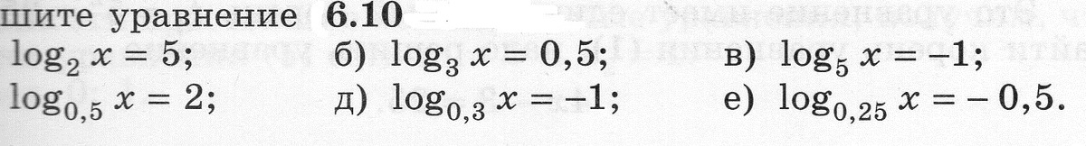
• Нужна помощь по алгебре! Задания во вложениях. Помогите пожалуйста. Решение желательно подробно и с помощью ОДЗ!!!

    question img
    question img

Ответы 4

  • Решая буду добавлять
  • Все решены удачи
  • Спасибо!
    • Автор:

      moocher
    • 6 лет назад
    • 0
  • Незачто
    • Автор:

      harvey92
    • 6 лет назад
    • 0
  • Добавить свой ответ

Войти через Google

или

Забыли пароль?

У меня нет аккаунта, я хочу Зарегистрироваться

How much to ban the user?
1 hour 1 day 100 years