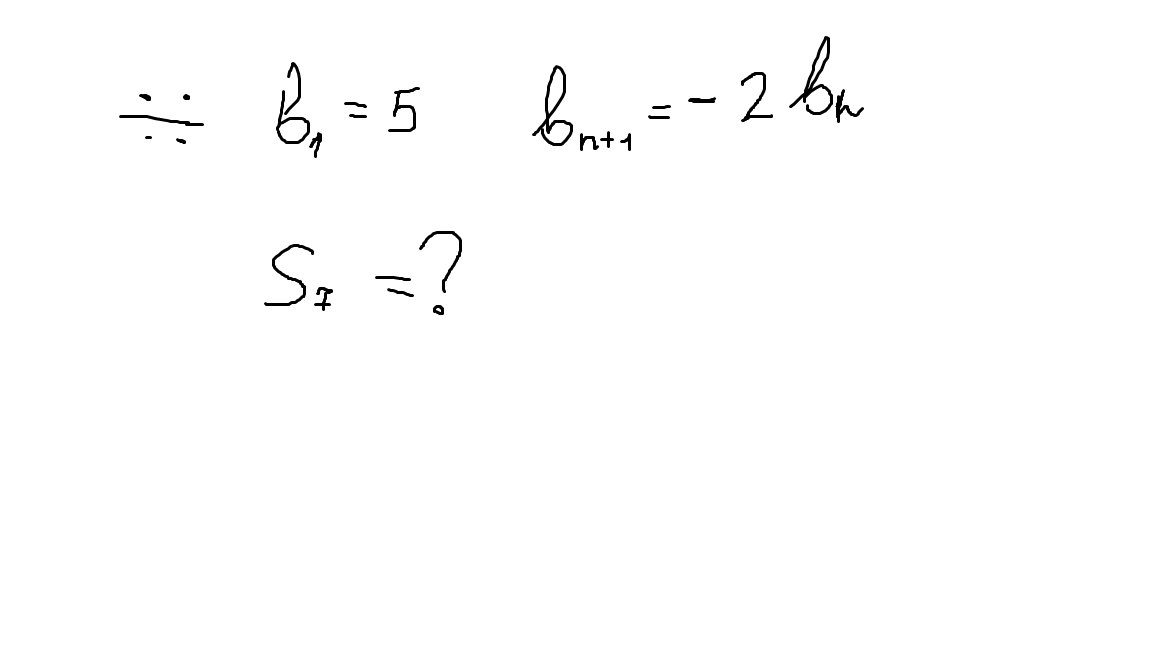
• гео.прогрессия; найдите сумму первых 7 членов прогрессии

    question img

Ответы 1

  • ..........................................
    answer img
    • Автор:

      jakeramos
    • 6 лет назад
    • 0
  • Добавить свой ответ

Войти через Google

или

Забыли пароль?

У меня нет аккаунта, я хочу Зарегистрироваться

How much to ban the user?
1 hour 1 day 100 years