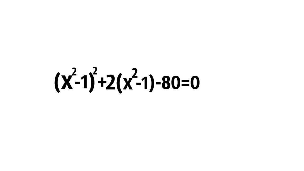
• Друзья помогите решить уравнение,используя способ введения новой переменной:

    question img

Ответы 4

  • я не понел)))))))
    • Автор:

      sara
    • 6 лет назад
    • 0
  • то, что в скобках - это степени. а пустое множество это такой кружок зачеркнутый 1 линией .
  • спасибо
    • Автор:

      liberty
    • 6 лет назад
    • 0
  • х(2) - 1)2 + 2(х(2) -1) -80 = 0х(4) - 2х(2) +1 + 2х(2) - 2 - 80 = 0х(4) - 81 = 0Пусть х(2) = уу(2) - 81 = 0у(2) = 81у = плюс-минус 9х(2) = 9  ; х(2) = -9х = плюс-минус 3 ; х = пустому множеству 
  • Добавить свой ответ

Войти через Google

или

Забыли пароль?

У меня нет аккаунта, я хочу Зарегистрироваться

How much to ban the user?
1 hour 1 day 100 years