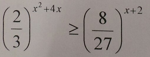
• ПОМОГИТЕ РЕШИТЬ! !! (2/3)^ (x^2+4x) => (8/27)^ x+2

    question img

Ответы 1

  • (\frac{2}{3})^{x^2+4x} \geq (\frac{8}{27})^{x+2}\frac{8}{27}=\frac{2^3}{3^3}=(\frac{2}{3})^3((\frac{2}{3})^3)^{x+2}=(\frac{2}{3})^{3(x+2)}=(\frac{2}{3})^{3x+6}(\frac{2}{3})^{x^2+4x} \geq (\frac{2}{3})^{3x+6}0<\frac{2}{3}<1x^2+4x \leq 3x+6x^2+4x-3x-6 \leq 0x^2+x-6 \leq 0(x+3)(x-2) \leq 0х є [-3;2]
    • Автор:

      sweet tea
    • 6 лет назад
    • 0
  • Добавить свой ответ

Еще вопросы

Войти через Google

или

Забыли пароль?

У меня нет аккаунта, я хочу Зарегистрироваться

How much to ban the user?
1 hour 1 day 100 years