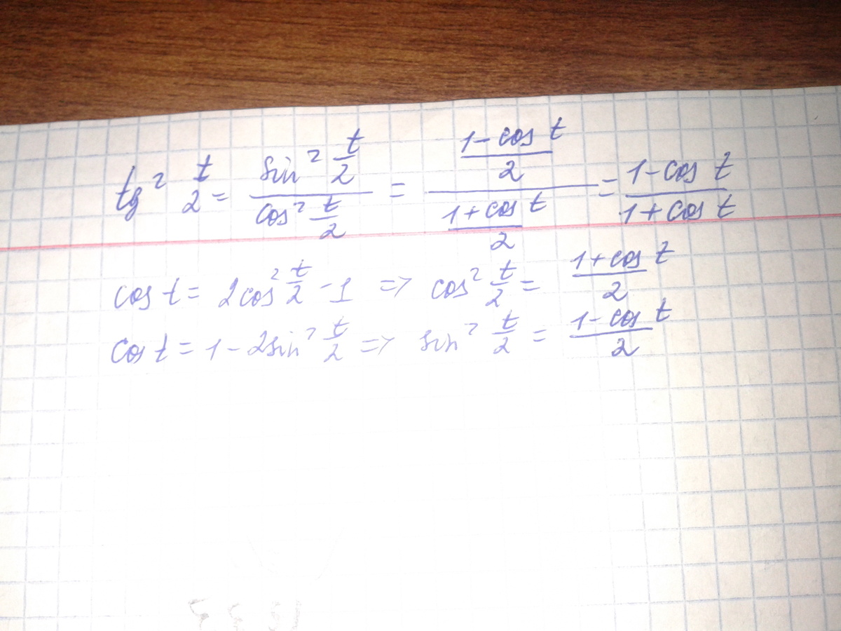
• Ребят, помогите! Докажите тождество: 1-cost/1+sint=tg^2×t/2

Ответы 1

  • ..................................................................
    answer img
  • Добавить свой ответ

Войти через Google

или

Забыли пароль?

У меня нет аккаунта, я хочу Зарегистрироваться

How much to ban the user?
1 hour 1 day 100 years