• Помогите, пожалуйста! ОЧЕНЬ СРОЧНО НАДО!!!
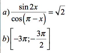
    а) Решить уравнение
    б) Найти корни, принадлежащие заданному промежутку

    question img

Ответы 1

  • а)  \frac{sin 2x}{cos9 \pi -x)}= \frac{2sin x*cos x}{-cos x}  =-2sin xsin x=- \frac{ \sqrt{2} }{2} x=k \pi -(-1)^k \frac{ \pi }{4} .б) указанному промежутку соответствуют корни при:k=-2 x_{1} =-2 \pi - \frac{ \pi }{4} =- \frac{9 \pi }{4} k=-3x _{2} =-3 \pi + \frac{ \pi }{4} =- \frac{11 \pi }{4}
  • Добавить свой ответ

Войти через Google

или

Забыли пароль?

У меня нет аккаунта, я хочу Зарегистрироваться

How much to ban the user?
1 hour 1 day 100 years