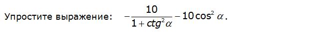
• пожалуйста помогите)) варианты ответов 1)1
    2)-100
    3)100
    4)-10

    question img

Ответы 2

  • =-10sin^2-10cos^2=-10ответ номер 4
    • Автор:

      luke6cpx
    • 6 лет назад
    • 0
  • - \frac{10}{1+ctg^2 \alpha } -10cos^2 \alpha = -\frac{10}{1+ \frac{cos^2 \alpha }{sin^2 \alpha } } -10cos^2 \alpha = \\  \\ =- \frac{10sin^2 \alpha }{sin^2 \alpha +cos^2 \alpha } -10cos^2 \alpha =- 10sin^2 \alpha -10cos^2 \alpha = \\  \\ =-10(sin^2 \alpha +cos^2 \alpha )=-10Ответ: 4) -10
    • Автор:

      jake17
    • 6 лет назад
    • 0
  • Добавить свой ответ

Войти через Google

или

Забыли пароль?

У меня нет аккаунта, я хочу Зарегистрироваться

How much to ban the user?
1 hour 1 day 100 years