• помогите пожалуйста решить эти два рациональных уровнения!!!!
    очень очень срочно!!)

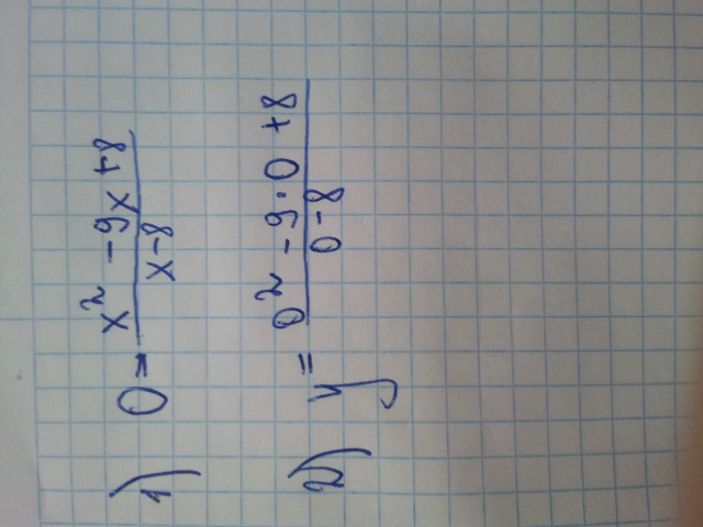
    question img

Ответы 2

  • 1)x^2-9x+8=0 \\ D=81-32=49 \\ x= \frac{9+-7}{2} = \left \{ {{x_1=1} \atop {x_2=8}} ight. ОДЗx-8 eq 0 \\ x eq 8Ответ: х=1========================================2) y= \frac{0^2-9*0+8}{0-8} = \frac{0-0+8}{0-8} = \frac{8}{-8} =-1y=-1
  • 1) ((x-1)(x-8))/(x-8)=0; x-1=0; x=1:  х не=8 ОТВЕТ,12) непонятно что? Это не уравнение!
    • Автор:

      bozley
    • 6 лет назад
    • 0
  • Добавить свой ответ

Войти через Google

или

Забыли пароль?

У меня нет аккаунта, я хочу Зарегистрироваться

How much to ban the user?
1 hour 1 day 100 years