Мощно!
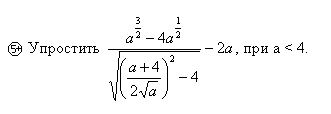
Упростите:
Предмет:
АлгебраАвтор:
yuremcooke((asqrt(a)-4sqrt(a))/sqrt((a+4)^2/4a-4))-2a=
=(sqrt(a)(a-4)/(sqrt(4-a)^2/4a))-2a=-2a-2a=-4a
Автор:
darionchurchДобавить свой ответ
Аня и Таня весят вместе 40 кг. Таня и Маня весят 50кг. Маня и Ваня весят 90 кг. Ваня и Даня весят 100 кг. Даня и Аня – 60 кг. Сколько весит Аня?
Предмет:
МатематикаАвтор:
kyra76Ответов:
Смотреть
81-54:9*4+2=14 и 81-54:9*4+2=18
измени с помощью скобок порядок действий так, чтобы равенства стали верными
Предмет:
МатематикаАвтор:
porkchopcprxОтветов:
Смотреть
Найдите корень уравнения Log3(7+5x)= Log3 числа2
Предмет:
МатематикаАвтор:
shauncannonОтветов:
Смотреть
After the school year for all students is waiting a great season - summer. In summer all the children relax and recruited forces for the new school year. But for me this lastsummer vacation in school. After the last bell I'm going to pass exams and immerse themselves in the rest. As usual most of the summer I spend at my grandmother. She lives near the town in the country. There's a very beautiful nature, clean air and manylakes. But sometimes I will spend time in the city with my friends. This will be a greatsummer, because every day I will see friends and long walk. Also, I intend to visit several museums and theaters, go to several concerts. Maybe I still have a trip to the sea. In general, this summer will be as normal as everyone else. But almost at the end ofholidays for me is waiting entry into university.
проверте плиииз и исправте ошибки
Предмет:
Английский языкАвтор:
selahschaeferОтветов:
Смотреть