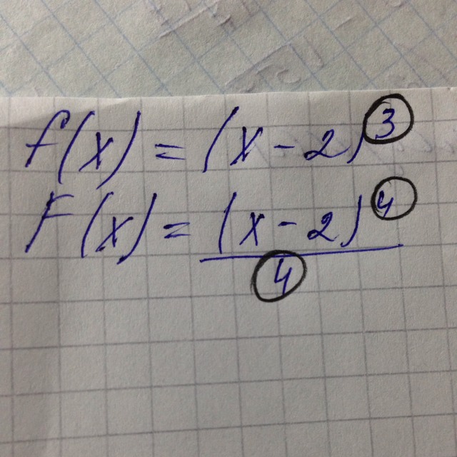
• Первообразная. Почему на месте 3 у нас появляется 4?

    question img

Ответы 1

  • По формуле первообразная Х в степени n - это Х в степени n+1, деленное на сам показатель n+1.
    • Автор:

      carlen
    • 6 лет назад
    • 0
  • Добавить свой ответ

Войти через Google

или

Забыли пароль?

У меня нет аккаунта, я хочу Зарегистрироваться

How much to ban the user?
1 hour 1 day 100 years