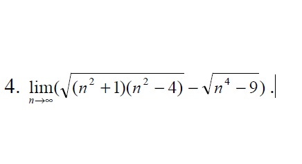
• Вычислите предел числовой последовательности:

    question img

Ответы 1

  • первый корень в выражении обозначим кор1, второй корень за кор2, знак предела в переходах опустим за муторностью его писанины. Исходное выражение домножим на сопряженное:(кор1-кор2)*(кор1+кор2)/(кор1+кор2)=(n^4-3n^2-4-n^4+9)/(кор1+кор2)=(-3n^2+5)/(n^2(\sqrt{1-3/n^{2}-4/n^{4}}+\sqrt{1-9/n^{4}}))=(-3+5/n^2)/(\sqrt{1-3/n^{2}-4/n^{4}}+\sqrt{1-9/n^{4}})=устремим n к бесконечности, получим:=-3/2
  • Добавить свой ответ

Войти через Google

или

Забыли пароль?

У меня нет аккаунта, я хочу Зарегистрироваться

How much to ban the user?
1 hour 1 day 100 years