• помогите пожалуйста с неравенством
    дошла вот до сюда, а дальше с модулем не понимаю

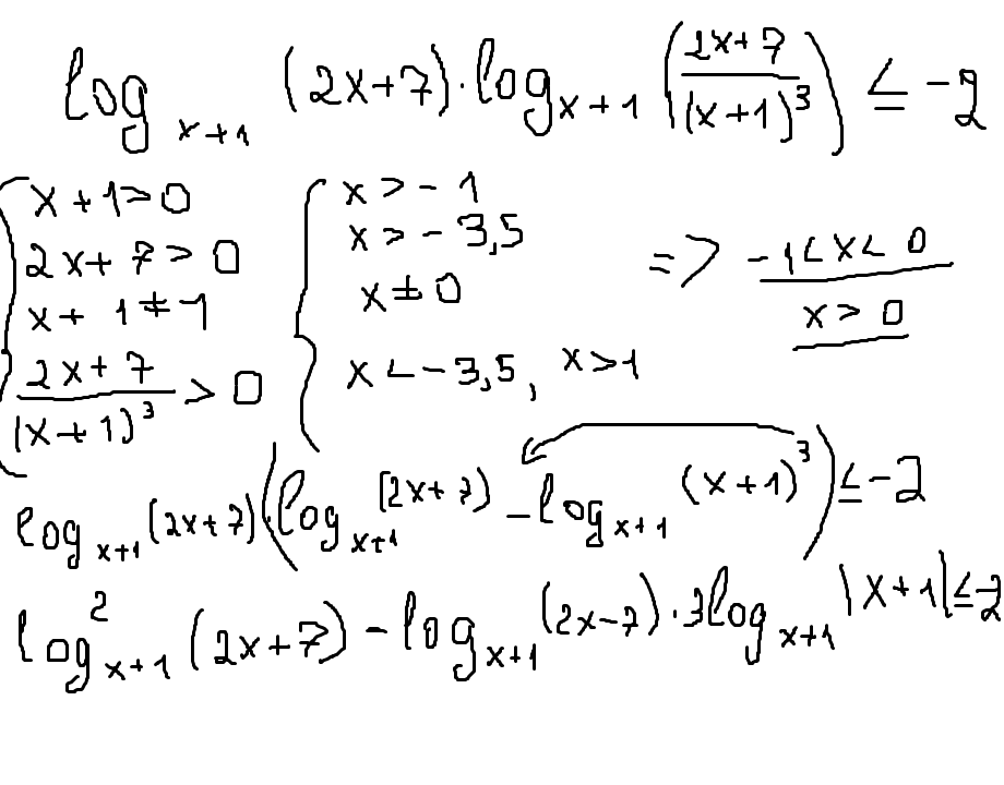
    question img

Ответы 1

  • Неверно вынесли показатель степени. Только, если показатель чётный, то в аргументе логарифма надо писать модуль. Если показатель степени в аргументее логарифма нечётный, то модуль основания писать не надо.log_{a}x^2=2log_{a}|x|,\quad log_{a}x^3=3log_{a}xООФ нашла верно. Cмотри вложение
    answer img
    answer img
  • Добавить свой ответ

Войти через Google

или

Забыли пароль?

У меня нет аккаунта, я хочу Зарегистрироваться

How much to ban the user?
1 hour 1 day 100 years