• ПОМОГИТЕ С ТРИГОНОМЕТРИЕЙ
    чему равны эти выражения и почему(по какому правилу)
    СМ.ВЛОЖЕНИЕ

    question img

Ответы 1

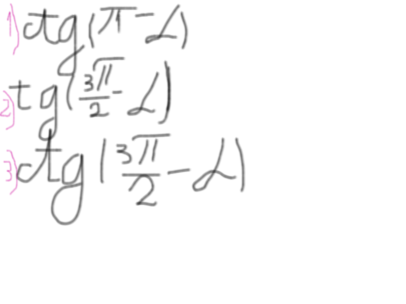
  • ctg( \pi - \alpha )=ctg(  - \alpha )=-ctg \alpha 
\\\
tg ( \frac{3 \pi }{2}- \alpha )= tg ( \frac{ \pi }{2}- \alpha )= ctg \alpha 
\\\
ctg( \frac{3 \pi }{2}- \alpha )=ctg( \frac{ \pi }{2}- \alpha )=tg \alpha п - это полный период тангенса и котангенсаФормулы приведения: наименование меняется на кофункцию если к аргументу прибавляется дробь вида пk/2; знак определяется по исходной функции, ставится тот знак, который имела бы исходная функция, если а принадлежал бы 1 четверти
  • Добавить свой ответ

Еще вопросы

Войти через Google

или

Забыли пароль?

У меня нет аккаунта, я хочу Зарегистрироваться

How much to ban the user?
1 hour 1 day 100 years