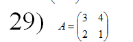
• Найти собственные значения и собственные векторы матрицы

    question img

Ответы 1

  • С.ч.: (3 - λ)(1 - λ) - 8 = 0λ^2 - 4λ - 5 = 0λ1 = 5;   λ2 = -1λ = 5:2A - 4B = 0A = 2B(A , B) = B *  (2; 1)λ = -1:2A + 2B = 0A = -B(A; B) = A * (1; -1)
    • Автор:

      keon7rf2
    • 6 лет назад
    • 0
  • Добавить свой ответ

Войти через Google

или

Забыли пароль?

У меня нет аккаунта, я хочу Зарегистрироваться

How much to ban the user?
1 hour 1 day 100 years