• Решите пожалуйста неравенство с модулями, если можно, то на отдельном листочке)

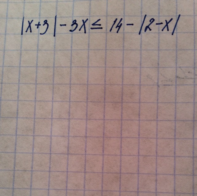
    question img

Ответы 2

  • x+3-3x<=14-2-x                              -x-3-3x<=14+2+xx-3x+x<=14-2-3                              -x-3x-x<=14+2+3-x<=9                                             -5x<=19x>= -9                                             5x>= -19                                                       x>= -19/5                                                       x>= -3,8<=(меньше или равно)>=(больше или равно)Ответ: х>= -3.8
    • Автор:

      rexnkps
    • 6 лет назад
    • 0
  • Решать надо отдельно для трех участков координатной оси. Сначала найдем критические точки, там где модули обращаются в ноль. Это точки х=-3 и х=2. эти точки делят числовую ость на 3 интервала Для каждого интервала раскроем модули и потом объединим решения.1) x< -3;-x-3-3x<=14-2+x;5x>=-15;x>= -3;        Общих решений в данном интервале нет2) -3<=x<2;x+3-3x<=14-2 +x;3x>=-9;x>=-3 Решением данного интервала будет множество х∈[-3;2);3) x>=2;x+3-3x<=14+2-x;x>=-13. Решением данного интервала будет множество x∈[2;+бесконечность). Объединим все 3 случая и запишем общий ответ для неравенства х∈[-3; +бесконечность)
  • Добавить свой ответ

Еще вопросы

Войти через Google

или

Забыли пароль?

У меня нет аккаунта, я хочу Зарегистрироваться

How much to ban the user?
1 hour 1 day 100 years